2,4-二氯甲苯

结构式
| 物竞编号 | 029P |
|---|---|
| 分子式 | C7H6Cl2 |
| 分子量 | 161 |
| 标签 |
2,4-二氯-1-甲基苯, 2,4-二氯甲苯(二氯甲苯), 2,4-二氯-1-甲苯, 2,4-Dichloro-1-methylbenzene, 2,4-Dichloromethylbenzene, 芳香族卤素衍生物 |
编号系统
CAS号:95-73-8
MDL号:MFCD00000583
EINECS号:202-445-8
RTECS号:XT0730000
BRN号:1931691
PubChem号:24848696
物性数据
1.性状:无色透明液体,有刺激性气味。[1]
2.熔点(℃):-13.5[2]
3.沸点(℃):200[3]
4.相对密度(水=1):1.25[4]
5.临界压力(MPa):3.59[5]
6.辛醇/水分配系数:4.24[6]
7.闪点(℃):79.44[7]
8.引燃温度(℃):>500[8]
9.爆炸上限(%):4.5[9]
10.爆炸下限(%):1.9[10]
11.溶解性:不溶于水,可混溶于乙醇、乙醚、苯。[11]
毒理学数据
1、急性毒性:大鼠经口LD50:3249mg/kg;小鼠经口LD50:2400mg/kg;豚鼠经口LD50:5mg/kg;
2、其他多剂量毒性:大鼠经口TDLo:6440mg/kg/2W-I;大鼠经口TDLo:28980mg/ kg/9W-I;
3.急性毒性[12] LD50:2400mg/kg(大鼠经口);2900mg/kg(小鼠经口)
4.刺激性 暂无资料
生态学数据
1.生态毒性[13] LC50:4.6mg/L(7d)(鱼)
2.生物降解性 暂无资料
3.非生物降解性[14] 空气中,当羟基自由基浓度为5.00×105个/cm3时,降解半衰期为12d(理论)。
4.生物富集性[15] BCF:1000(理论)
分子结构数据
1、摩尔折射率:40.86
2、摩尔体积(cm3/mol):129.6
3、等张比容(90.2K):316.6
4、表面张力(dyne/cm):35.6
5、极化率:16.20
计算化学数据
1.疏水参数计算参考值(XlogP):无
2.氢键供体数量:0
3.氢键受体数量:0
4.可旋转化学键数量:0
5.互变异构体数量:无
6.拓扑分子极性表面积0
7.重原子数量:9
8.表面电荷:0
9.复杂度:92.9
10.同位素原子数量:0
11.确定原子立构中心数量:0
12.不确定原子立构中心数量:0
13.确定化学键立构中心数量:0
14.不确定化学键立构中心数量:0
15.共价键单元数量:1
性质与稳定性
1.稳定性[16] 稳定
2.禁配物[17] 强氧化剂
3.避免接触的条件[18] 受热
4.聚合危害[19] 不聚合
5.分解产物[20] 氯化氢
贮存方法
1.储存注意事项[21] 储存于阴凉、通风的库房。远离火种、热源。保持容器密封。应与氧化剂、食用化学品分开存放,切忌混储。配备相应品种和数量的消防器材。储区应备有泄漏应急处理设备和合适的收容材料。
2.本品遇明火燃烧,应贮于阴凉通风处,远离火源,热源,与氧化剂分开存放,与食品,饲料,种子分开存放,注意保持包装完整。按易燃物品规定贮运。
合成方法
生产方法:其制备方法有以下几种。
①对氯甲苯法
将对氯甲苯和催化剂ZrCl4放入反应器,通氯气进行氯化反应,控制通氯气的量至反应结束,停止反应,得到的反应物含有2,4-二氯甲苯85.1%,如果以FeCl3为催化剂在10~15℃进行氯化反应到溶液相对密度为1.025,生成物中有2,4-二氯甲苯和3,4-二氯甲苯,两组分质量比为100∶30。氯化完毕后用水洗至中性,并用10%NaOH溶液在100~110℃下处理以除去其他杂物,经处理后的氯化物在高效精馏塔进行精馏分离(2,4-二氯甲苯b.p.200℃,3,4-二氯甲苯b.p.207℃)。2,4-二氯甲苯和3,4-二氯甲苯的收率分别为64.4%和1 9.8%。

②邻氯甲苯法
邻氯甲苯以氯化硫酰为氯化剂在142~196℃下进行氯化反应,生成物有2,4-二氯甲苯和2,3-二氯甲苯,还有未反应的原料,其组成分别为55%、6%、39%。经过蒸馏(2,4-二氯甲苯b.p.200℃,2,3-二氯甲苯b.p.207~208℃,邻氯甲苯b.p.157~159℃)分离得到2,4-二氯甲苯。
③邻硝基甲苯法
邻硝基甲苯在FeCl3催化剂存在下于35~40℃进行氯化反应,当反应物相对密度达1.320(15℃),将物料洗至中性,反应物中有原料15%、2-氯-6-硝基甲苯49%、4-氯-2-硝基甲苯21%,还有15%多氯化物,经过精馏及结晶处理,得到2-氯-6-硝基甲苯和4-氯-2-硝基甲苯,收率分别为50%和30%以上,4-氯-2-硝基甲苯经加氢还原反应、水蒸气蒸馏得4-氯-2-氨基甲苯,再进行重氮化和加入CH2Cl2进行Sandmeyer反应而得到2,4-二氯甲苯。该方法用于生产2-氯-6-硝基甲苯(用于除草剂二氯喹啉酸中间体)的副产4-氯-2-硝基甲苯。
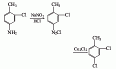
④2,4-二氨基甲苯法
2,4-二氨基甲苯在NaNO2和盐酸存在下进行重氮化反应,然后在Cu2Cl2存在下进行Sandmeyer反应而得到2,4-二氯甲苯。
⑤3-氯-4-甲基苯胺法
3-氯-4-甲基苯胺和盐酸加到反应釜中,在3~5℃滴加NaNO2水溶液,在2~3h内滴加完,进行重氮化反应,然后将重氮化液在2~5℃滴加入含有Cu2Cl2的盐酸溶液进行Sandmeyer反应,得到2,4-二氯甲苯。

以上几种方法中,采用对氯甲苯和邻氯甲苯为原料生成的氯化物中杂质多,且沸点相近,要采用高效精馏塔分馏,才能得到98%以上的2,4-二氯甲苯。这两种方法操作难度大,设备投资费用大。2,4-二氨基甲苯法不适宜工业化,而邻硝基甲苯法和3-氯-4-甲基苯胺法制备2,4-二氯甲苯基本原理相同,都是要通过重氮化和Sandmeyer反应的,存在废水较多的缺点。邻硝基甲苯法联产2-氯-6-硝基甲苯,进一步还原得到2-氯-6-氨基甲苯,是生产除草剂二氯喹啉酸的重要中间体。
用途
1.农药中间体,用于制造2,4-二氯苄基氯、2,4-二氯苯甲酰氯。在医药工业用于制造抗疟药阿的平。
2.用作溶剂,用于制药及有机合成。[22]
扩展阅读https://www.morpholine.org/catalyst-1028/扩展阅读https://www.cyclohexylamine.net/dabco-tl-low-odor-strong-foaming-tertiary-amine-catalyst/扩展阅读https://www.bdmaee.net/dioctyl-dimaleate-di-n-octyl-tin/扩展阅读https://www.bdmaee.net/dabco-33-lsi-dabco-33lsi/扩展阅读https://www.newtopchem.com/archives/690扩展阅读https://www.bdmaee.net/wp-content/uploads/2022/08/FASCAT4100-catalyst-monobutyl-tin-oxide-FASCAT-4100.pdf扩展阅读https://www.bdmaee.net/wp-content/uploads/2022/08/33-5.jpg扩展阅读https://www.newtopchem.com/archives/40475扩展阅读https://www.bdmaee.net/fascat4201-catalyst-cas-818-08-6-dibutyl-tin-oxide/扩展阅读https://www.bdmaee.net/wp-content/uploads/2022/08/37-2.jpg

